공부/Algorithm

힙 정렬 (Heap Sort) 구현

sudo 2021. 8. 7. 04:47
반응형

 

// Heapsort.h
#pragma once

#include <cmath>
#include <assert.h>

template <typename T>
class CHeapsort
{
public:
	CHeapsort()
	{
		m_Capacity = 10;
		m_Size = 0;
		m_Data = new T[m_Capacity];

	}
	~CHeapsort()
	{
		delete[] m_Data;
	}

private:
	T* m_Data;
	int m_Size;
	int m_Capacity;

private:
	void MaxHeapify(int Index)
	{
		int Left = Index * 2;
		int Right = Index * 2 + 1;
		// Left와 Right중 큰 element의 인덱스
		int LargeIndex = Index;

		// MinHeap으로 바꾸고 싶다면 여기 등호 반대로
		if (Left <= m_Size && m_Data[Left] > m_Data[LargeIndex])
		{
			LargeIndex = Left;
		}

		// MinHeap으로 바꾸고 싶다면 여기 등호 반대로
		if (Right <= m_Size && m_Data[Right] > m_Data[LargeIndex])
		{
			LargeIndex = Right;
		}
		
		if (LargeIndex != Index)
		{
			T temp = m_Data[LargeIndex];
			m_Data[LargeIndex] = m_Data[Index];
			m_Data[Index] = temp;

			MaxHeapify(LargeIndex);
		}

	}

	void BuildMaxHeap()
	{
		for (int i = floor(m_Size / 2); i > 0; --i)
		{
			MaxHeapify(i);
		}
	}

public:
	// heap에 데이터를 넣기만 하는 함수(정렬은 Heapsort 호출해야함)
	// 인덱스 1부터 넣는다
	void PushData(const T& Data)
	{
		if (m_Capacity == m_Size + 1)
		{
			m_Capacity *= 2;
			T* temp = new T[m_Capacity];

			memcpy(temp, m_Data, sizeof(T) * m_Capacity);

			delete[] m_Data;

			m_Data = temp;
		}

		m_Data[m_Size+1] = Data;
		++m_Size;
	}

	void Heapsort()
	{
		BuildMaxHeap();

		for (int i = m_Size; i > 1; --i)
		{
			T temp = m_Data[1];
			m_Data[1] = m_Data[i];
			m_Data[i] = temp;

			--m_Size;

			MaxHeapify(1);
		}
	}

	int GetSize() const
	{
		return m_Size;
	}

	int GetCapacity() const
	{
		return m_Capacity;
	}

	T GetTop() const
	{
		return m_Data[1];
	}

	T* GetData() const
	{
		return m_Data;
	}

	T GetData(int Index) const
	{
		return m_Data[Index];
	}

	bool empty() const
	{
		return m_Size == 0;
	}
};

 

 

// main.cpp
#include <iostream>
#include <time.h>
#include "Heapsort.h"
#include <crtdbg.h>


int main()
{
	_CrtSetDbgFlag(_CRTDBG_ALLOC_MEM_DF | _CRTDBG_LEAK_CHECK_DF);
	CHeapsort<int> heap;
	srand((unsigned int)time(0));
	rand();

	for (int i = 0; i < 20; ++i)
	{
		int random = rand();
		std::cout << "Push data : " << random << std::endl;
		heap.PushData(random);
	}
	
	int Size = heap.GetSize();
	
	heap.Heapsort();

	std::cout << "==================== After Sort ====================" << std::endl;

	for (int i = 1; i <= Size; ++i)
	{
		std::cout << heap.GetData(i) << std::endl;
	}
	
	return 0;
}

main.cpp 출력 결과

 

MaxHeapify를 점화식으로 표현하면

이렇게 표현할 수 있다(n은 노드의 개수). 왜냐하면 MaxHeapify에서는 각 서브트리로 MaxHeapify를 재귀 호출 하는데, 서브트리의 최대 노드 수가 2n/3 이기 때문이다. 2n/3의 노드 개수에 대해 MaxHeapify를 재귀 호출하므로 저런 점화식으로 표현 가능한 것이다. 위의 식을 마스터 정리로 풀면 T(n) = O(log n) 이 나온다(마스터 정리 글은 여기 정리 https://welikecse.tistory.com/manage/newpost/?type=post&returnURL=%2Fmanage%2Fposts) 

 

TISTORY

나를 표현하는 블로그를 만들어보세요.

www.tistory.com

 

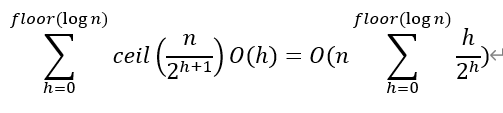
MaxHeapify가 O(log n)이고 BuildMaxHeap의 시간 복잡도를 구해보자. 트리에서 높이 h에 존재할 수 있는 최대 노드수는 다음과 같이 표현할 수 있다.

ceil은 천장함수를 의미
위의 공식 보충설명하는 그림

높이가 h일때 최대 저만큼의 노드가 있을 수 있다는 의미이므로 높이 h = 0부터 트리의 높이까지 BuildMaxHeap의 시간 복잡도는 다음과 같이 표현될 수 있다.

그런데 무한 등비 급수 공식에 의해 아래와 같이 정리될 수 있다.

마지막으로 heapsort는 BuildMaxHeap을 한번 호출( Time complexity : O(n) ) + n-1번 MaxHeapify호출(Time complexity : O(nlogn) )

따라서 Heapsort의 시간 복잡도는 O(n) + O(nlogn) = O(nlogn)이 된다.  

 

 

heapsort는 최악, 평균의 경우 모두 O(nlogn)을 보장한다

반응형